Could the math of creation be so simple that we all missed it?
Creation and the Law of Balance:
The following simple equation will be referred to as the “Law of Balance”:
It says that something is equal to itself. Let’s see what happens when we do a little bit of algebra, subtracting E from both sides and replacing the right side with zero:
E - E = 0
This equation is now more interesting if we let E be the total positive mass energy and -E be the total negative gravitational energy in the universe. This rearrangement of the Law of Balance says that we can have nothing on the right side of the equation and two somethings on the left side. Could this simple equation be telling us how we get something from nothing?
The Law of Balance provides a way for the cosmos to evolve from nothing without violating the Law of Conservation of Energy. During the creation, each time a small amount of positive energy is created, a balancing amount of negative energy is created. At all times, the net energy of the universe remains at zero.
In the very distant past, before the universe existed, the total energy content of the universe is represented by the following equation:
Now, imagine an event caused by the Heisenberg Uncertainty Principle generating a small amount of positive and negative energy. Using the number 1 to represent a very small amount of energy, this event is represented by the following equation:
At a later point in time we can imagine this same event occurring again:
We can now represent the evolution of our universe in the following steps:
|
0 - 0 = 0 (Before our universe existed) 1 - 1 = 0 (Universe starts to evolve) 2 - 2 = 0 3 - 3 = 0 (Universe continues to evolve) 4 - 4 = 0 * * E - E = 0 (Energy state of our present universe) |
In the previous section we investigated how the Heisenberg Uncertainty Principle allows the universe to get started (1 – 1 = 0).
The creation process stabilizes local space in such a way that large objects are no longer created. Virtual particles popping in and out of existence at the quantum level are believed to help this stabilization.
The Power of a Zero Divide by Zero:
We will now explore the concept of zero divided by zero to see the creative power that nature has up her sleeve.Basic mathematics teaches us that most anything divided by itself is equal to 1. For example, 7 divided by 7 is 1. Pick up your calculator and see what you get if you divide zero by zero. Instead of getting one, you get an error. This is because zero divided by zero can be anything — including our universe. Let’s see how this works.
Again, let's start with the Law of Balance:

Now let’s divide both sides of this equation by E and represent the resulting value by x:

Most values of E will yield a value for x of one. However for a value of E equal to zero, our calculator shows an error since x can be any value. Let’s rearrange the above equation to see why x can be any value for E equal zero:

Replacing E in the above equation with zero gives us:

Any value of x on the right side of this equation is multiplied by zero resulting in a value of zero. For example, if x is equal to one, the right side of the equation will be equal to the left side since one times zero is zero. If x is equal to minus ten, for example, then the equation still holds since minus ten times zero is still zero. Since any value of x will satisfy this equation we see that x can be anything. In other words, "nothing" is mathematically unstable.

Isn't the pre-universe state of "nothing" the most natural candidate for a nothing divided by nothing to occur? Nature can be very creative if she can find a way to do this division. The stable results of such a division will remain and the unstable results disappear. Perhaps the things around us are the stable results.
Now let's investigate the energy laws to see how this division can happen.
The Creative Power of the Energy Laws:
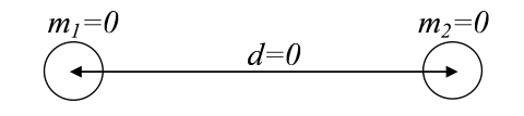
A universe of only two imaginary objects of zero mass, separated from each other by zero distance, can have any value of energy. A mental model of this imaginary universe is shown below.
In the case of nothing, the distance d shrinks to zero since distance does not exist. In the case of nothing, the masses m1 and m2 also shrink to zero since mass is also non-existent.
Substituting these values into the energy law for gravity gives us:

In the case of nothing, this law allows the creation of any energy.
Perhaps the creation process could be viewed as the reverse of the above equation with the division of zero by zero occurring first as shown below:

In this way, the energy law could be created as a stable result of zero divided by zero. The unstable results are lost to history.
The electrical energy law has a form similar to the gravitation energy law. In this case, a pre-universe of no electrical charge and no space results in a similar mathematical instability.
Also, as the wavelength of a single photon of light approaches zero, the energy approaches infinity giving nature great creative powers.
Are the energy laws trying to tell us how the instability of nothing results in our universe?
How was the mass and gravity in the universe created?
